NEWRAD '99, published in Metrologia, Volume 37, Number 5
New Developments in the Radiance Calibration of Deuterium Lamps in UV and VUV Spectral Range at PTB
J. Hollandt, U. Becker, W. Paustian, M. Richter and G. Ulm
Abstract. PTB operates a unique beam line for the highaccuracy radiometric calibration of UV and VUV radiation sources by direct comparison of their unknown spectral radiant flux with the calculable spectral radiant flux of the electron storage ring BESSY I. At this beam line the standard uncertainty of the spectral radiant flux of the synchrotron radiation is u=0.3%. The highaccuracy beam line is now complemented by a new instrumentation specially designed for the dissemination of the spectral radiance and radiant intensity scale via deuterium lamps as transfer source standards. This instrumentation allows the calibration of deuterium lamps in the spectral range from 115 nm to 400 nm without significant loss in accuracy and the measurement of spectrally and spatially resolved radiance profiles such as to image the plasma topography of the discharge.
The new instrumentation is described. Results for the radiometric long term stability of selected deuterium lamps are shown. The radiance and radiant intensity as well as the radiance profile of different types of commercially available deuterium lamps are presented.
1. Introduction
The radiometric calibration of ultraviolet (UV) and vacuumultraviolet (VUV) radiation sources traceable to the Berlin electron storage ring BESSY I, which can be operated as a primary radiation standard [1], is well established at the UV and VUV Radiometry Section of the PhysikalischTechnische Bundesanstalt (PTB) [26]. With the PTB's normal incidence source calibration beam line at BESSY I [3], used for the calibration of radiation sources in the spectral range from 40 nm to 400 nm, a relative standard uncertainty u=0.3% (k=1) of the spectral radiant flux of the synchrotron radiation is achieved. Thus, PTB can offer a unique beam line for highaccuracy radiometric calibrations of radiation sources by directly comparing the radiation of the source with synchrotron radiation. After the shutdown of BESSY I by the end of 1999 this beam line will be transferred to the new electron storage ring BESSY II.
Deuterium discharge lamps have found widespread use as transfer radiation standards in the UV and longwavelength VUV spectral range in industry and national laboratories [7,8]. The lower limit of their spectral emission is determined by the transmission cutoff of the fused silica window at about 160 nm or by the magnesium fluoride window at about 115 nm. Their advantages are small size, low power consumption, ease of operation and low costs. However, the radiometric calibration of deuterium lamps by direct comparison to synchrotron radiation has to be carried out during special PTB main user times at BESSY I with a strongly reduced electron current of the storage ring to match the radiation flux of the synchrotron radiation to the flux of the deuterium lamp. Hence, to complement the highaccuracy beam line, PTB has set up a new instrumentation which provides fast dissemination of the spectral radiance and radiant intensity scale in the UV and VUV spectral range via deuterium lamps. The instrumentation allows the calibration of deuterium lamps in the spectral range from 115 nm to 400 nm without significant loss in accuracy. The calibration is performed by comparison of the radiation of the deuterium lamp under investigation with a set of selected deuterium lamps New Developments in the Radiance Calibration of Deuterium Lamps in the UV and VUV Spectral Range at PTB which have been characterized and calibrated by direct comparison to BESSY I.
2. Instrumentation and calibration procedure
The layout of the instrumentation for the calibration of deuterium lamps is shown in Figure 1. It consists of five identical ultrahigh vacuum beam lines, all pointing to the center of a spherical imaging mirror coated with aluminium. To each beam line a radiation source, e.g. a deuterium lamp, can be connected. The spherical mirror is mounted on a two-axes goniometer inside an ultrahigh vacuum mirror chamber and allows to alternatively image each source onto the entrance pinhole of a 1m, 15 degree McPherson type monochromator. The image of the source is demagnified by a factor of 3.2. The pinhole defines the emitting area of the source observed for spectral radiance calibration. Different pinholes can be selected for circular areas 0.6 mm, 0.9 mm and 1.0 mm in diameter. For the radiant intensity calibration of a deuterium lamp additional pinholes are available, which are significantly larger than the image of the source and do not limit the radiation flux of the lamp. Furthermore, rectangular entrance slits can be selected for purely spectroscopic investigations. Between the mirror chamber and the monochromator different apertures to limit the solid angle of the accepted radiation and transmission filters to suppress higherorder radiation can be moved into the radiation path.
The monochromator is equipped with two differently coated spherical gratings (Table 1) mounted on a twoposition grating holder so that they are exchangeable under vacuum conditions. Two exit slit assemblies with two different detectors (Table 2) are mounted to the monochromator, which can be alternatively used via a plane diverting mirror in the monochromator. The mirror is moved into the radiation path if the detector on the backside of the monochromator is to be irradiated.
Figure 1: Layout of the instrumentation for the radiance and radiant intensity calibration of deuterium lamps in the 115 nm to 400 nm spectral range.
Since the degradation of the window transmission of deuterium lamps, especially of lamps with magnesium fluoride windows, strongly increases with the amount of hydrocarbon contaminants in the vacuum chamber [9], the complete vacuum system is operated with oilfree pumps. Additionally, for the calibration of deuterium lamps with magnesium fluoride windows a liquid nitrogen cooled baffle acting as a cold trap is implemented directly in front of each lamp.
Stepper motors suitable for ultrahigh vacuum on the horizontal and vertical axis of the goniometer allow to tilt the imaging mirror in steps of 0.001°. By gradually tilting the mirror and using a small pinhole in the entrance slit plane of the monochromator, a twodimensional raster of the image of the source can be performed. This procedure allows to take spectrally and spatially resolved radiance profiles of the plasma discharge. With a pinhole 44 µm in diameter, a spatial resolution of 150 µm is achieved.
The calibration of a deuterium lamp is performed by comparing the radiation of the lamp under investigation with at least two lamps out of a set of selected deuterium lamps which have been calibrated by direct comparison to BESSY I. For this purpose, a group of 30 deuterium lamps was carefully characterized with the highaccuracy beam line at BESSY I over a period of several years. The spectral radiance and radiant intensity of these reference lamps were calibrated with a relative standard uncertainty of 2.5% above 165 nm. Below 165 nm, the uncertainty of the radiance and radiant intensity calibration of deuterium lamps increases by up to 6% and becomes strongly wavelengthdependent due to the appearance of strong spectral emission lines superimposed on the continuum emission of a deuterium discharge.
Table 1. Main properties of gratings.
|
Grooves /
mm
|
Blaze
|
Coating
|
Spectral Range
|
|
2400
|
80 nm
|
Os
|
40 nm 160
nm
|
|
600
|
150 nm
|
Al
|
40 nm 640
nm
|
Table 2. Main properties of detectors.
|
Detector
|
Window
|
Photocathode
|
Spectral Range
|
|
EMI 9405B
|
MgF2
|
RbTe
|
115 nm 250
nm
|
|
EMI 9635QB
|
silica
|
bialkali
|
160 nm 400
nm
|
3. Results
Among the variety of commercially available deuterium lamps, different types of lamps have been investigated in order to find adequate reference lamps (Table 3). The deuterium lamps V03 and V04 of Cathodeon Ltd. are 'end on' lamps, where the radiation emerges axially through a plane window attached to one end of the cylindrical glass envelope. These lamps can easily be attached in a horizontal position to the ultrahigh vacuum beam lines via Oring seals. The lamps of Heraeus Noblelight GmbH are also cylindrical in shape and have been operated in a vertical position on air. With these lamps the envelope material itself acts as a curved window. Seethrough lamps are designed with a hole in the center of the plate anode to allow the radiation of the deuterium discharge to be combined with the radiation from another source, e.g. a tungsten halogen or ribbon lamp.
The radiometric long term stability of the reference lamps is of central importance for the calibration procedure. Therefore only lamps with a good stability record are used as reference lamps and their stability is at present regularly checked by comparison to the primary standard BESSY I and will in future be checked by comparison to BESSY II. The radiance history of a lamp selected as a reference lamp is shown in Figure 2.
Figure 2: Longterm stability of the spectral radiance of a deuterium lamp with fused silica window calibrated with the highaccuracy beam line at BESSY I. All radiance calibrations agree within +/2% over a period of 12 years.
Table 3. Main properties of investigated deuterium lamps.
|
Lamp
|
Window
|
Current
|
Cathode heater
voltage (operational) |
Arc aperture
|
Dimple structure
|
|
Cathodeon
V03
|
MgF2
|
300 mA
|
3 V
|
ø 1 mm
|
no dimple
|
|
Cathodeon
V04
|
Spectrosil
|
300 mA
|
3 V
|
ø 1 mm
|
no dimple
|
|
Heraeus DO902T
|
Suprasil
|
300 mA
|
|
ø 1 mm
|
spherical
|
|
Heraeus DO272J
(seethrough lamp) |
doped fused
silica
(ozonefree lamp) |
300 mA
|
|
ø 1 mm
|
spherical
|
|
Heraeus DO660J
(seethrough lamp) |
Suprasil
|
300 mA
|
|
ø 1 mm
|
spherical
|
|
Heraeus DO651MJ
|
Suprasil
|
300 mA
|
3 V
|
ø 1 mm
|
spherical
matted surface
|
Concerning the radiometric stability, all types of deuterium lamps showed similar performance and no preferred transfer standard type could be identified in this group. Our investigation supports previous experience [79] that deuterium lamps are well suitable for maintaining a scale of relative spectral power, but to maintain an absolute spectral power scale, they have to be used as a group of lamps regularly recalibrated against a primary standard, since single lamps can show a large difference in the absolute output from ignition to ignition. We have found changes of up to 12% for poor lamps.
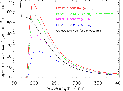
In Figure 3 the spectral radiance and in Figure 4 the spectral radiant intensity of representatives of Table 3 are shown. The design of the Cathodeon lamps V03 (not shown) and V04 using a flat circular arc aperture without dimple structure is intended to give high spectral radiance with a Gaussian like radiance profile as can be seen in Figure 5. Without dimple structure, however, these lamps clearly do not achieve such a high radiant intensity and with it irradiance as the investigated Heraeus lamps with a spherical dimple structure (Figure 4). The spherical dimple structure which surrounds the arc aperture acts as a simple collimator enhancing the directed radiation output [10] and leads to pronounced shoulders in the radiance profiles of the Heraeus lamps. Radiance profiles of two lamps with a spherical dimple structure are shown in Figures 6 and 7. Besides the central radiation from the bright positive column, which is pinched by the arc aperture, some radiation from the negative glow near the filament can also be seen in these figures as an asymmetrical secondary maximum. With the Cathodeon lamps the negative glow is completely blocked by internal baffles, resulting in the fully symmetrical radiance profile shown in Figure 5.
Figure 3: Spectral radiance of different types of deuterium lamps calibrated by comparison to BESSY I.
Figure 4: Spectral radiant intensity of different types of deuterium lamps calibrated by comparison to BESSY I.
Figure 5: Radiance profile of a deuterium lamp of type Cathodeon V04 measured at 180 nm.
Figure 6: Radiance profile of a deuterium lamp of type Heraeus DO902T measured at 200 nm.

Figure 7: Radiance profile of a deuterium lamp of type Heraeus DO272J measured at 200 nm.
4. Conclusion and outlook
A new instrumentation for the dissemination of the spectral radiance and radiant intensity scale in the UV and longwavelength VUV spectral range with deuterium lamps has been put into operation at PTB. This instrumentation allows deuterium lamps to be calibrated at short notice traceable to synchrotron radiation via a group of reference lamps, which are regularly recalibrated with the highaccuracy source calibration beam line of PTB at BESSY. The instrumentation allows absolute radiometric measurements to be combined with spectrally and spatially resolved investigations of the plasma topography. It will be used to perform further investigations on innovative radiation sources, e.g. high current and detectorstabilized deuterium lamps.
References
J. Hollandt, U. Becker,
W. Paustian, M. Richter, G. Ulm
PhysikalischTechnische Bundesanstalt,
Abbestr. 212, D10587 Berlin, Germany
email joerg.hollandt@ptb.de
31. Juli 2001, Udo Becker